LV/MV Voltage Transformers (VT/PT)
How does a VT work?
IVTs work like regular transformers utilising the principle of electromagnetic induction and where energy is coupled from the primary coil to the secondary coil.
A CVT is essentially an IVT with a capacitive voltage divider stack at the front-end together with a compensating reactor and is the preferred configuration at high voltages. Many CVTs also include a damping circuit.
Inductive Voltage Transformer (IVT)
Capacitive Voltage Transformer (CVT)
Voltage Transformer Types
VT Model
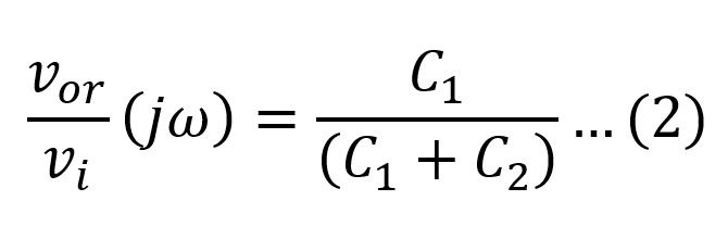
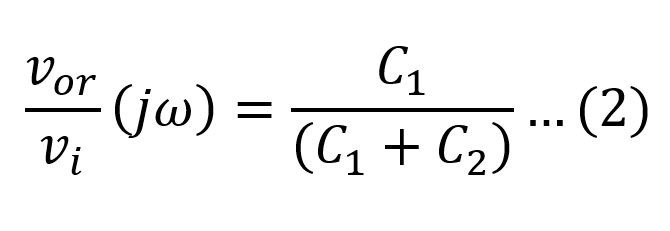
The simplified model for a VT is given in equation (1).
We use advanced models and numerical analysis to design and size VTs, no guesswork.
Training Workshop
Not sure about VTs?
Want to learn more about the principles of VTs?
We also offer a training workshop that gives a deep look into voltage transformers and their application.




LV Voltage Transformers
Accurate, galvanically‑isolated LV voltage scaling for metering, PQ diagnostics, and protection, with performance defined by IEC 61869 accuracy class, burden limits, and frequency response under harmonic‑rich conditions.
Robust dielectric and thermal design to ensure stability during LV fault events, transient overvoltages, and distorted waveforms, with correct ratio selection and wiring configuration engineered to match your metering or PQ instrumentation chain.
MV Voltage Transformers
Medium‑voltage potential scaling with reinforced insulation, providing galvanic isolation and stable ratio accuracy across 3.3-33 kV networks, with performance governed by IEC 61869 accuracy class, burden limits, and transient response under switching surges and harmonic distortion.
Ensure your metering, PQ analysis, and protection schemes are fed by accurate, stable voltage signals.
See how we can design and size the right LV or MV VTs for your switchgear, feeders, and instrumentation chain.
Not sure about what VT you require? Give us a call to discuss at +61 0402 414 145






Contact Info:
© Copyright GreenVolt Power Quality Solutions 2026. All rights reserved.
Office Number: +61 0402 414 145
Email: contact@greenvoltpowerqualitysolutions.com.au
Office Hours:
Mon-Fri
8:00 AM - 6:00 PM
